Conception de chaînes de poids pour pare-battage cellulaire
Vous êtes ici: Maison » Nouvelles » Conception de chaînes de poids pour pare-battage cellulaire

Conception de chaînes de poids pour pare-battage cellulaire

Nombre Parcourir:0     auteur:Éditeur du site     publier Temps: 2022-06-01      origine:Propulsé

enquête

facebook sharing button
twitter sharing button
line sharing button
wechat sharing button
linkedin sharing button
pinterest sharing button
whatsapp sharing button
sharethis sharing button

Conception de chaînes de poids pour pare- battage cellulaire

Résumé : Cet article décrit la procédure de conception des chaînes de poids pour les défenses cellulaires.Tels que la sélection et la disposition des chaînes de poids, la méthode de calcul de la tension des chaînes de poids, etc.

Mots-clés : boue en caoutchouc , cadre frontal de garde- , chaîne de poids, chaîne flexible en caoutchouc, tension sur la chaîne de poids


Le système de garde-boue en caoutchouc de type cellulaire est principalement composé d'un corps de garde-boue en caoutchouc de type cellulaire et d'une plaque anti-impact.La plaque d'impact est montée à l'avant du garde-boue en caoutchouc Accessoires de structure en acier, utilisés pour résister à l'impact du navire et augmenter la zone de contact entre le garde-boue en caoutchouc et le navire afin de réduire la pression de surface du garde-boue en caoutchouc sur le navire .Dans des conditions normales, le garde-boue en caoutchouc cellulaire lui-même peut supporter le poids de la plaque d'impact.Cependant, lorsque le poids de la plaque anti-impact dépasse la charge statique admissible spécifiée dans le tableau I, ou lorsque la spécification de l'aile en caoutchouc dépasse 2000H, une chaîne de gravité doit être installée pour assurer le fonctionnement normal du système d'aile en caoutchouc, comme indiqué dans figure I.

Je figure

Disposition des chaînes de poids

La chaîne de poids est généralement disposée dans le cylindre de garde-boue en caoutchouc de type cellulaire sous la gravité de la plaque d'impact, une extrémité du garde-boue en caoutchouc est des deux côtés, une extrémité de la chaîne est fixée sur la plaque d'impact et l'autre extrémité est fixée sur le mur de rive, comme illustré à la figure I

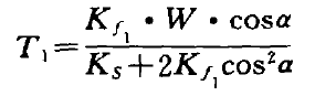
Calcul de la tension de la chaîne de poids

T=T1+T2

Positionner

W : Le poids de la plaque d'impact

Ks : coefficient d'élasticité de cisaillement de l'aile

Kf : Coefficient élastique de la chaîne à ressort en caoutchouc

α : L'angle entre la chaîne à ressort en caoutchouc et l'axe Z

β : L'angle entre la chaîne à ressort en caoutchouc et l'axe X



Abonnez-Vous à Notre Newsletter

Recevez les dernières mises à jour sur les nouveaux produits et les ventes à venir
China Marine Rubber (Qingdao) Industrial Co., Ltd (CMR) est un fabricant professionnel de défenses en caoutchouc marines et de produits en caoutchouc d'ingénierie en Chine.

LIENS RAPIDES

DES PRODUITS

NOUS CONTACTER

 : +86-18766396886
 : +86-13953283589
 : Zone industrielle de Jiaobei, Jiaozhou, Qingdao, Chine
Copyright © 2022 China Marine Rubber (Qingdao) Industrial Co., Ltd. Plan du site | 鲁ICP备2022012721号| Technologie par leadong.com